语音评测(Speech Evaluator)通过智能语音技术自动对发音水平进行评价、发音错误、缺陷进行定位和问题分析。目前语音评测提供汉语、英语两种语言的评测,支持单字(汉语专有)、词语 和句子朗读三种题型。
语音评测详细的接口介绍及说明请参考: MSC Linux API 文档, 在集成过程中如有疑问,可登录讯飞开放平台论坛,查找答案或与其他开发者交流。
1.在控制台下载对应sdk
2.进入sdk内samples/ise_online_sample目录source 64bit_make.sh或32bit_make.sh, 视系统位数选择
3.运行成功后进入sdk bin目录下cd ../../bin/,运行./ise_online_sample即可看到运行结果
《SDK目录结构一览》
评测试题和结果格式及字段含义详见 语音评测试题格式及结果说明 文档。 其它常见问题请参见 科大讯飞语音评测 FAQ 文档。
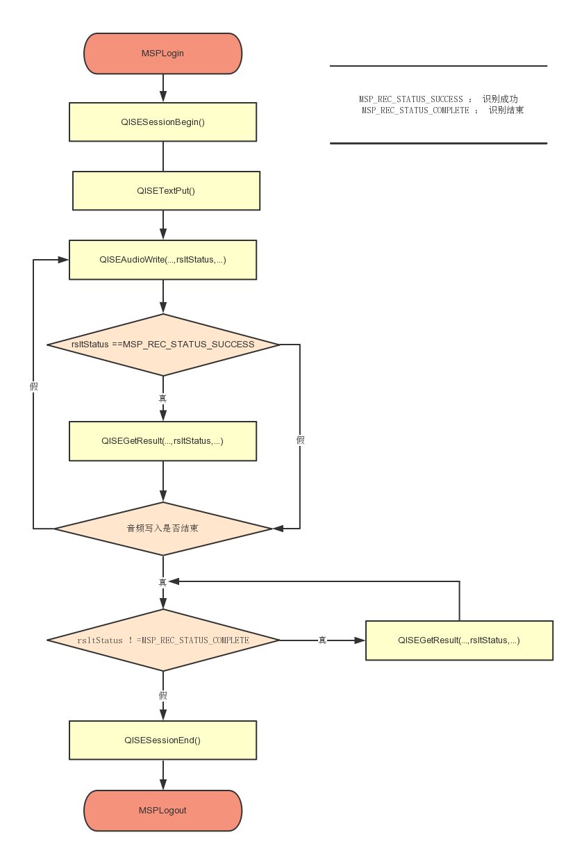
语音评测主要API调用流程如下图所示:

详细代码调用请参考 Samples中的 ise_sample(语音评测示例); API详细描述请参考API文档
语音评测有以下高阶功能。
| 权限 | 使用前 | 使用后 | 使用方法 |
|---|---|---|---|
| 全维度 | 仅有总分或英文的音节得分 | 可获得更多评分维度,详情请在下方全维度说明查看 | plev=0 |
使用说明:使用全维度权限前后可获得的结果对比如下,红色为使用全维度以后才会返回的评分维度,返回结果各字段的详细说明请点击 语音评测结果说明 查看。
| 题型 | 中文 默认 | 中文 使用全维度 | 英文 默认 | 英文 使用全维度 |
|---|---|---|---|---|
| 字 | 总分(total_score) | 总分(total_score) 声韵分(phone_score) 调型分(tone_score) | - | - |
| 词 | 总分(total_score) | 总分(total_score) 声韵分(phone_score) 调型分(tone_score) | 总分(total_score) 音节得分(syll_score) | 总分(total_score) 音节得分(syll_score) 准确度分(accuracy_score) |
| 句 | 总分(total_score) | 总分(total_score) 完整度分(integrity_score) 流畅度分(fluency_score) 声韵分(phone_score) 调型分(tone_score) | 总分(total_score) 音节得分(syll_score) | 总分(total_score) 音节得分(syll_score) 完整度分(integrity_score) 流畅度分(fluency_score) 准确度分(accuracy_score) |
| 篇章 | 总分(total_score) | 总分(total_score) 完整度分(integrity_score) 流畅度分(fluency_score) 声韵分(phone_score) 调型分(tone_score) | 总分(total_score) 音节得分(syll_score) | 总分(total_score) 音节得分(syll_score) 完整度分(integrity_score) 流畅度分(fluency_score) 准确度分(accuracy_score) |
注: 中文声韵分:指声母和韵母正确率的得分。 中文调型分:指声调正确率的得分。
在MSPLogin接口的params参数中添加:
net_type=custom, proxy_ip=<host>, proxy_port=<port>
其中,<host>,<port>替换为实际的代理服务器地址和端口。
例如:MSPLogin(NULL, NULL, "appid = 12345678, net_type=custom, proxy_ip=192.168.1.2, proxy_port=8080"); 注意:各参数间,以英文逗号分隔。
接口原型: int MSPLogin(const char* usr, const char* pwd, const char* params)
注意: 若在设置代理参数后,使用语音服务过程中,报错10204/10205/10212等网络异常错误时,请查阅以下内容,做出相关操作:
- 讯飞语音SDK的通信协议使用的是标准HTTP1.1协议,其代理协议使用的是标准HTTP代理协议。
- 代理服务器需要支持全双工多问多答方式,即 pipeline 模式。
- 代理服务器不能对80端口做限制,不能对如下域名做拦截: hdns.openspeech.cn scs.openspeech.cn open.xf-yun.com dev.voicecloud.cn
- 需要确保代理服务器只负责转发数据包,不能改变数据包的完整性和时序性。
- 代理服务器在转发数据包时,不能在HTTP协议头部添加 IE6 标识头。
| 参数 | 名称 | 说明 |
|---|---|---|
| vad_timeout | 允许头部静音的最长时间 | 0-10000毫秒。默认为10000如果静音时长超过了此值,则认为用户此次无有效音频输入。 |
| vad_speech_tail | 允许尾部静音的最长时间 | 0-10000毫秒。默认为2000如果尾部静音时长超过了此值,则认为用户音频已经结束,此参数仅在打开VAD功能时有效。 |
| category | 评测类型 | 单字评测:read_syllable**(当language=en_us时,不支持)** 词组评测:read_word 句子评测:read_sentence 篇章评测: read_chapter |
| language | 评测语言 | zh_cn:简体中文en_us:英语默认为zh_cn |
答:目前语音评测支持:Android/IOS/Linux/Windows/Web API应用平台。
答:文档中心---快速指引有介绍步骤根据步骤下载Linux在线评测sdk
答:评测试题需要符合一定的格式,汉语试题和英语试题有所不同,同语种的不同题型也有差异。 英文口语评测:支持单词,句子,篇章等题型评测。 中文口语评测:支持字、词、句,篇章等题型评测。 评测试题和结果格式及字段含义详见 语音评测试题格式及结果说明 文档。
答:对于所有评测题型,都只支持最长 3分钟 的语音输入。
答:支持的音频类型是:单声道 16bit Inter PCM。 支持的音频采样率是:16000HZ。推荐使用Cool edit软件查询音频格式是否符合,音频格式不符合会检测为乱读,分值不能作为参考。
答:在MSPLogin接口中添加:server_url = http://YourDomainName/msp.do (YourDomainName是指语音云服务域名,请开发者自行替换) 例如:MSPLogin(NULL, NULL, "appid = 12345678, server_url = http://sdk.openspeech.cn/msp.do"); 注意:各参数间,以英文逗号分隔。 接口原型: int MSPLogin(const char* usr, const char* pwd, const char* params)